A4 – Welternährung
Hinweis: Es sollen drei der vier Aufgaben bearbeitet werden.
Auf der Welt herrscht eine ungleiche Verteilung von Ressourcen und Nahrungsmitteln. Die ausreichende Ernährung der gesamten Weltbevölkerung ist eines der globalen Nachhaltigkeitsziele der Agenda 2030 der Vereinten Nationen.
Analysiere die Abbildungen 1 und 2 hinsichtlich der Wirksamkeit von Düngemitteln zur langfristigen Ernährungssicherung. (M 1)
Stelle für den vereinfachten Stoffwechselweg bei der Herstellung von Kimchi unter Verwendung der in Abbildung 3 dargestellten Namen und Formeln eine Bruttogleichung auf und vergleiche die Energiebilanz dieses vereinfachten Stoffwechselweges mit den Energiebilanzen der Zellatmung und der alkoholischen Gärung. (M 2)
Erstelle unter Bezug auf Abbildung 4 ein beschriftetes Liniendiagramm, das die Populationsentwicklung von Leuconostoc zeigt, und ordne die Phasen eines idealen Wachstums zu. (M 2)
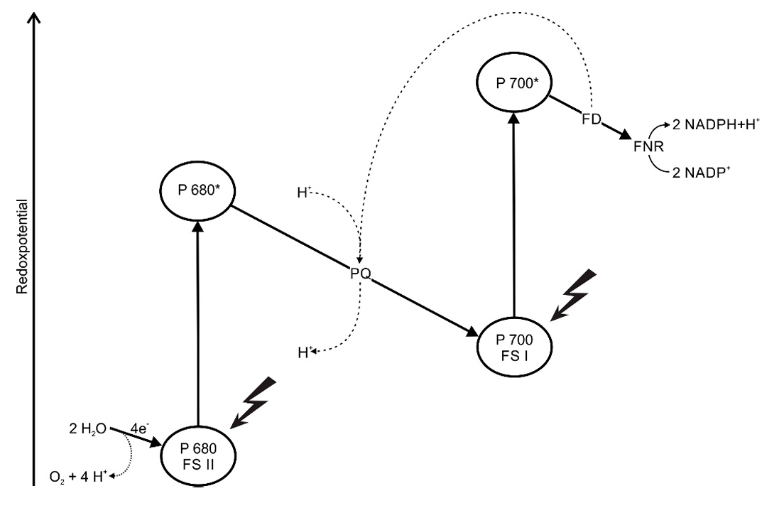
Stelle die Vorgänge, die bei den lichtabhängigen Reaktionen der Photosynthese zur Bildung von NADPH führen, skizzenhaft als energetisches Modell dar und leite davon die Wirkung von Atrazin als Herbizid ab. (M 3)
Erkläre unter Einbezug von Abbildung 6 auf molekularer Ebene die Wirkung des Stoffes 8-MOP auf die Enzymaktivität des Enzyms Glutathion-S-Transferase. (M 4)
Interpretiere das Diagramm in Abbildung 7 zusammen mit dem Fachtext und formuliere darauf basierend eine Hypothese wie CAM-Pflanzen dem Dilemma zwischen Kohlenstoffdioxid-Aufnahme und Austrocknungsgefahr begegnen. (M 5)
Weiter lernen mit SchulLV-PLUS!
monatlich kündbarSchulLV-PLUS-Vorteile im ÜberblickDu hast bereits einen Account?Material 1: Düngemitteleinsatz
Zur Ertragssteigerung von Anbauflächen werden Düngemittel eingesetzt. Die Abbildungen 1 und 2 zeigen Ergebnisse von Erhebungen und Prognosen dazu:

Abb. 1: weltweiter Düngemitteleinsatz und Prognose (gestrichelt)1

Abb. 2: weltweite Steigerung der jährlichen Erträge pro Hektar in Prozent1
Material 2: Rettich
Viele Pflanzen aus der Familie der Kreuzblütengewächse (Brassicaceae), zu denen auch der Rettich zählt, sind aufgrund ihres würzigen Geschmacks Teil der heimischen und ausländischen Küche und werden weltweit angebaut. In der koreanischen Küche wird Rettich durch Gärung zum Gericht Kimchi verarbeitet. Dabei spielen Bakterien eine entscheidende Rolle.
In Abbildung 3 wird ausgehend von einem Molekül Glucose ein ausgewählter vereinfachter Stoffwechselweg während dieses Gärvorgangs gezeigt.
Zur Untersuchung des Bakterienwachstums während der Produktion von Kimchi wurden an verschiedenen Tagen aus einem Kimchi Bakterienproben entnommen, die jeweils eine vergleichbare Individuenzahl enthielten. Die Ergebnisse sind in Abbildung 4 dargestellt.

Abb. 3: ausgewählter vereinfachter Stoffwechselweg bei der Herstellung von Kimchi2

Abb. 4: prozentualer Anteil der Bakterienstämme in Kimchi in Abhängigkeit von der Kulturdauer3
Material 3: Herbizideinsatz
Zur optimalen Ertragssicherung werden oft Herbizide auf die Anbauflächen aufgebracht, die für die Landwirtschaft nicht nutzbare Pflanzen beseitigen sollen.
Ein hierzu weltweit verbreitetes Herbizid ist Antrazin. Es wurde bereits 1958 eingeführt und 1986 allgemein bekannt, da es durch die chemische Industrie in großen Mengen in den Rhein gelangte und hier zu einem großen Fischsterben führte. Mittlerweiler ist der Einsatz in der EU verboten. In vielen Ländern wird es aber nach wie vor eingesetzt.
Die genaue Wirkungsweise des Herbizids konnte aufgeklärt werden. Antrazin-Moleküle blockieren die Elektronentransportkette bei den lichtabhängigen Reaktionen der Photosynthese.
Material 4: Glutathion-S-Transferase – Pflanzenabwehr gegen Herbizide
Durch den wiederholten Einsatz von Herbiziden reichern sich diese im Boden an und werden u. a. von dort lebenden tierischen Organismen wie Regenwürmern aufgenommen. Um organismusfremde giftige Substanzen unschädlich zu machen, besitzen Regenwürmer das Enzym Glutathion-S-Transferase, das die Bindung von Glutathion-Molekülen an Herbizid-Moleküle katalysiert. Das dabei entstandene Produkt wird dann aus der Zelle transportiert. Die Glutathion-S-Transferase kann durch den Stoff 8-MOP gehemmt werden.
In einem Laborexperiment wird die Wirkung des Hemmstoffs 8-MOP auf die Aktivität der Glutathion-S-Transferase untersucht. Hierzu wird anstelle eines Herbizides das Substrat CDNB verwendet.

Abb. 6: Reaktionsgeschwindigkeit der von Glutathion-S-Transferase katalysierten Reaktion in Abhängigkeit von der CDNB-Konzentration mit und ohne Beigabe von 8-MOP4
Material 5: CAM-Pflanzen – eine konvergente Entwicklung zu den C4-Pflanzen
Pflanzen stehen bei trockenen Bedingungen alltäglich vor dem Problem, mit den Spaltöffnungen ihrer Blätter einerseits ausreichend Kohlenstoffdioxid für die Photosynthese aufzunehmen und andererseits den transpirationsbedingten Wasserverlust dabei gering zu halten. Die Lösung dieses Problems ist für das Pflanzenwachstum und somit für die Anzucht von Nutzpflanzen von entscheidender Bedeutung. In der Evolution der Pflanzen sind unter diesem Selektionsdruck konvergent die Stoffwechselwege CAM [Crassulacean Acid Metabolism, z. B. bei der Ananas (Ananas comosus)] sowie C4 [z. B. beim Mais (Zea mays)] entstanden.
Beiden Stoffwechselwegen ist gemeinsam, dass dem Calvin-Zyklus eine zusätzliche Kohlenstoffdioxid-Fixierung vorausgeht. Die zusätzliche Kohlenstoffdioxid-Fixierung mündet bei CAM-Pflanzen im Zwischenprodukt Äpfelsäure. Biochemisch sind CAM- sowie C4-Stoffwechsel an dieser Stelle vergleichbar.
Vergleicht man lichtmikroskopische Schnitte von Blättern von CAM- sowie C4-Pflanzen fällt auf, dass bei CAM-Pflanzen die typischen Leitbündelscheiden der C4-Pflanzen fehlen, aber dafür die Vakuolen in den Zellen sehr groß sind. In Abbildung 7 sind Messwerte im Tagesablauf einer CAM-Pflanze aufgetragen:
Der stomatäre Widerstand ist ein Maß für den Öffnungsgrad der Spaltöffnungen.

Abb. 7: Kohlenstoffdioxidaufnahme, stomatärer Widerstand, Äpfelsäuregehalt und Stärkegehalt einer CAM-Pflanze während des Tagesablaufs5
Quellen:
1 Daten aus: Chemnitz, C., & Weigelt, J. (2015). Bodenpolitik: Mehr als ein Vehikel. In Bodenatlas. Daten und Fakten über Acker, Land und Erde (pp. 42-43). Heinrich-Böll-Stiftung, IASS, BUND, Le Monde diplomatique.
2 verändert nach: https://microbewiki.kenyon.edu/index.php/File:Carbon_and_energy_flow.jpg
3 Park, D. H. (2018). Effects of carbon dioxide on metabolite production and bacterial communities during kimchi fermentation. Bioscience, Biotechnology, and Biochemistry, 82(7), 1234–1242.
4 De Oliveira, D. M., De Farias, M. T., Teles, A. L. B., Santos, M. C. D., De Cerqueira, M. D., Lima, R. M. F. & El-Bachá, R. D. S. (2014). 8-Methoxypsoralen is a competitive inhibitor of glutathione S-transferase P1-1. Frontiers in Cellular Neuroscience, 8, 267-273.
5 nach: Lüttge, U., & Kluge, M. (1999). Botanik: die einführende Biologie der Pflanzen (pp. 458). John Wiley & Sons.
Weiter lernen mit SchulLV-PLUS!
monatlich kündbarSchulLV-PLUS-Vorteile im ÜberblickDu hast bereits einen Account?Steigender Einsatz von Düngemitteln, abnehmende Ertragssteigerung; → z. B.: langfristig benötigte starke Ertragssteigerung zur Ernährung der weiter wachsenden Weltbevölkerung nur durch erhöhten Düngemitteleinsatz kaum erreichbar.
-
Bruttogleichung:
Glucose + 2 ADP + 2 Pi + 2 NADP+→ Acetat + Lactat + CO2+ 2 ATP + 2 NADPH
-
Vergleich mit Zellatmung: ca. 30 ATP; Vergleich mit alkoholischer Gärung: 2 ATP
Diagramm:

Skizzenhafte Darstellung der lichtabhängigen Reaktionen der Photosynthese als energetisches Modell:

Wirkung von Atrazin: fehlende Übertragung von Elektronen auf NADP+ → fehlende Reduktionsäquivalente für die lichtunabhängigen Reaktionen der Photosynthese → keine Glucosebildung → Eingehen der Pflanze.
-
Reaktionsgeschwindigkeit unter Anwesenheit von 8-MOP verringert
-
Maximale Reaktionsgeschwindigkeit wird bei höherer Substratkonzentration erreicht → Wirkung von 8-MOP als kompetitiver Hemmstoff
-
Erklärung: Moleküle von 8-MOP ähnlich gebaut wie die von CDNB → Reversible Blockade des aktiven Zentrums möglich → geringere Wahrscheinlichkeit der Bildung von Enzym-Substrat-Komplexen.
Beschreibung des Diagramms zur CAM-Pflanze:
In der Dunkelheit ist der stomatäre Widerstand gering und die Kohlenstoffdioxidaufnahme steigt an, während im Hellen der stomatäre Widerstand ansteigt und die Kohlenstoffdioxidaufnahme stark sinkt; die Apfelsäurekonzentration steigt in der Dunkelheit stark an und fällt im Hellen wieder ab, während die Stärkekonzentration sich genau umgekehrt verhält.
Hypothese: Die CAM-Pflanze löst das Dilemma durch die zeitliche Trennung der Kohlenstoffdioxidaufnahme, die in der Nacht stattfindet, von den lichtunabhängigen Reaktionen, die aufgrund der notwendigen Produkte der lichtabhängigen Reaktionen am Tag stattfinden. Die Spaltöffnungen sind nur nachts geöffnet. Kohlenstoffdioxid wird in der Nacht aufgenommen und in den großen Vakuolen in Form von Äpfelsäure zwischengespeichert (Konzentration steigt). Am Tag sind die Spaltöffnungen hingegen geschlossen (stomatärer Widerstand hoch) und das in Form von Äpfelsäure gespeicherte Kohlenstoffdioxid wird genutzt, um über den Calvin-Zyklus Stärke aufzubauen (Äpfelsäurekonzentration fällt, Stärkekonzentration steigt). Dadurch kann die Pflanze die Spaltöffnungen am Tag geschlossen halten und Wasserverlust durch Transpiration vermeiden.