A4 – Welternährung
Hinweis: Es sollen drei der vier Aufgaben bearbeitet werden.
Auf der Welt herrscht eine ungleiche Verteilung von Ressourcen und Nahrungsmitteln. Die ausreichende Ernährung der gesamten Weltbevölkerung ist eines der globalen Nachhaltigkeitsziele der Agenda 2030 der Vereinten Nationen.
Analysiere die Abbildungen 1 und 2 hinsichtlich der Wirksamkeit von Düngemitteln zur langfristigen Ernährungssicherung. (M 1)
Interpretiere den Kurvenverlauf in Abbildung 3. Zeichne die bei + 30 °C sowie + 70 °C zu erwartenden Kurvenverläufe in Abbildung 3 ein und begründe beide Kurvenverläufe. (M 2)
Erläutere mit Hilfe von Abbildung 4 die Wirkungsweise von SAN 9785 als Herbizid. (M 3)
Stelle die Vorgänge, die bei den lichtabhängigen Reaktionen der Photosynthese zur Bildung von NADPH führen, skizzenhaft als energetisches Modell dar und leite davon die Wirkung von Atrazin als Herbizid ab. (M 3)
Beschreibe die vergangene und zu erwartende Bevölkerungsentwicklung des Menschen im Zeitraum zwischen 1960 und 2050. Erkläre darauf basierend die Entwicklung der Anbaufläche pro Kopf. (M 4)
Weiter lernen mit SchulLV-PLUS!
monatlich kündbarSchulLV-PLUS-Vorteile im ÜberblickDu hast bereits einen Account?Material 1: Düngemitteleinsatz
Zur Ertragssteigerung von Anbauflächen werden Düngemittel eingesetzt. Die Abbildungen 1 und 2 zeigen Ergebnisse von Erhebungen und Prognosen dazu:

Abb. 1: weltweiter Düngemitteleinsatz und Prognose (gestrichelt)1

Abb. 2: weltweite Steigerung der jährlichen Erträge pro Hektar in Prozent1
Material 2: Hefeteig
Für Backprozesse verwendetes Mehl ist ein Produkt des Getreideanbaus. In vielen Kulturen weltweit verbreitet, wird Hefe als Grundnahrungsmittel hergestellt. Bei der Verarbeitung von Hefe spielt die Temperatur eine große Rolle.
In einem Versuch werden bei einer Temperatur von 20 °C 5 g Glucose und 2 g Kochsalz mit 100 g Mehl vermengt. Dann werden dem Ansatz 7 g frische Bäckerhefe zugegeben und anschließend wird dieser mit Wasser auf ein Volumen von 200 mL aufgeschlämmt. Daraufhin wird dieser Hefeteig vollständig in ein großes, ausschließlich mit Stickstoff begastes Messgefäß überführt, stehen gelassen und das Teigvolumen in bestimmten Zeitabständen gemessen:

Abb. 3: Volumen eines Hefeteigs in Abhängigkeit von der Zeit
In zwei weiteren, getrennten Versuchsansätzen wird bei sonst gleichen Bedingungen der Versuch bei + 30 °C sowie bei + 70 °C durchgeführt.
Material 3: Herbizideinsatz
Zur optimalen Ertragssicherung werden oft Herbizide auf die Anbauflächen ausgebracht, die für die Landwirtschaft nicht nutzbare Pflanzen beseitigen sollen. Nach dem Einsatz des Herbizids SAN 9785 konnte der in Abbildung 4 gezeigte Effekt an Pflanzenzellen nachgewiesen werden:

Abb. 4: Chlorophyllgehalt von Pflanzenzellen in Abhängigkeit vom Alter bei unterschiedlichen Herbizid-Konzentrationen2
Bei einem anderen Herbizid, dem sogenannten Atrazin, konnte die genaue Wirkungsweise aufgeklärt werden. Das Molekül blockiert die Elektronentransportkette bei den lichtabhängigen Reaktionen der Photosynthese.
Material 4: Versorgung der Weltbevölkerung mit Getreide
Bis zum Jahr 2050 wird eine Steigerung des durchschnittlichen Getreideertrages pro Hektar Anbaufläche von 3280 kg (im Jahr 2005) auf 5000 kg angestrebt.

Abb. 5: Anbauflächen pro Kopf in Quadratmetern1
Quellen:
1 Daten aus: Chemnitz, C., & Weigelt, J. (2015). Bodenpolitik: Mehr als ein Vehikel. In Bodenatlas. Daten und Fakten über Acker, Land und Erde (pp. 42-43). Heinrich-Böll-Stiftung, IASS, BUND, Le Monde diplomatique.
2 Samuel, K., & Bose, S. (1987). Bleaching of photosynthetic pigments in Chlorella protothecoides grown in the presence of SANDOZ 9785 (4-chloro-5-dimethylamino-2-phenyl-3 (2H) pyridazinone). Journal of Biosciences, 12, 399-404.
Weiter lernen mit SchulLV-PLUS!
monatlich kündbarSchulLV-PLUS-Vorteile im ÜberblickDu hast bereits einen Account?Steigender Einsatz von Düngemitteln, abnehmende Ertragssteigerung
→ z. B.: langfristig benötigte starke Ertragssteigerung zur Ernährung der weiter wachsenden Weltbevölkerung nur durch erhöhten Düngemitteleinsatz kaum erreichbar.
Interpretation des Kurvenverlaufes bei + 20 °C:
Volumenzunahme des Hefeteiges durch Kohlenstoffdioxidbildung aus Glucose bei der alkoholischen Gärung
→ Zu Beginn linearer Anstieg der Kurve
Durch Abnahme der Glucosekonzentration geringere Gärungsrate
→ Abgeschwächte Volumenzunahme des Hefeteiges
Nach Verbrauch der Glucose keine alkoholische Gärung
→ Konstantes Hefeteigvolumen

Erwarteter Kurvenverlauf bei + 30 °C:
Beschleunigte enzymatische Reaktionen der alkoholischen Gärung gemäß RGT-Regel
→ Größere Steigung, schnelleres Erreichen des nahezu gleichen Endvolumens des Hefeteiges
Erwarteter Kurvenverlauf bei + 70 °C:
Hitzedenaturierung der Enzyme für die alkoholische Gärung
→ Keine Änderung des Hefeteigvolumens.
Beschreibung der Abbildung:
-
Der Chlorophyllgehalt der unbehandelten Pflanzenzellen steigt in 7 Tagen von 0,3 auf über 12 μg/mL an
-
Beim Einsatz von 30 μM SAN 9785 werden nur 4 μg/mL im selben Zeitraum erreicht
-
Beim Einsatz von 300 μM SAN 9785 sinkt der Wert nach Erreichen von ca. 1 μg/mL nach 5,5 Tagen sogar wieder leicht ab
-
Hemmung der Chlorophyllbildung durch Herbizid
→ Verringerung der Photosyntheseleistung
→ Eingeschränkte Nährstoffversorgung
→ Eingehen der Pflanze
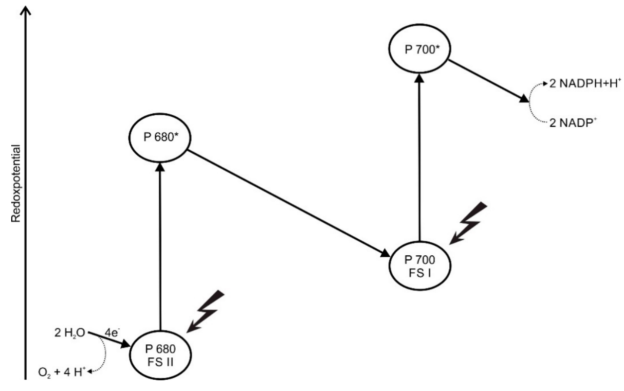
Skizzenhafte Darstellung der lichtabhängigen Reaktionen der Photosynthese als energetisches Modell:

Wirkung von Atrazin:
Fehlende Übertragung von Elektronen auf NADP+
→ Fehlende Reduktionsäquivalente für die lichtunabhängigen Reaktionen der Photosynthese
→ Keine Glucosebildung
→ Eingehen der Pflanze
Menschliche Bevölkerung in exponentieller Wachstumsphase
→ Starker Anstieg bis Jahr 2050; z. B. stärkeres Bevölkerungswachstum im Rest der Welt im Vergleich zu den Industrieländern
→ Pro-Kopf-Anbaufläche stärker abnehmend