A3 – Polyglycine
Glycin wird oft als einfachste Aminosäure bezeichnet. Seine Moleküle lassen sich wie bei allen anderen Aminosäuren zu Peptid-Molekülen kondensieren.
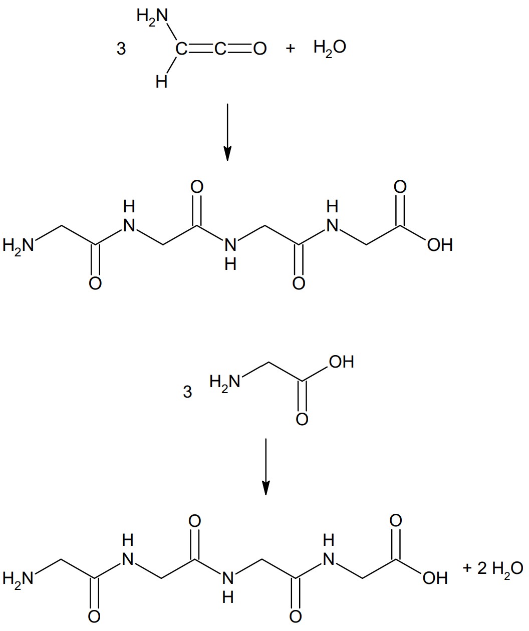
Formuliere die Strukturformelgleichungen für die beiden genannten Möglichkeiten zur Bildung eines drei Glycin-Bausteine umfassenden Tripeptids. Leite jeweils den Typ der Polyreaktion ab. (M 1)
Leite für das Aminoketen-Molekül die räumliche Lage der beiden Orbitalpaare zueinander ab, in denen sich die mit 1 und 2 markierten Elektronenpaare mit höchster Wahrscheinlichkeit aufhalten (Abb. 1). Begründe die Unterschiede in den Bindungslängen zwischen den Kohlenstoff-Atomen bei Buta-1,3-dien und Aminoketen unter Mitverwendung mesomerer Grenzstrukturen. (M 1)
Beschreibe die Wirkungsweise der PETase auch unter Verwendung einer Skizze. Stelle eine Hypothese auf, die sich mit der angegebenen Versuchsreihe stützen lässt. Erkläre die Bedeutung von Ansatz 2 in Tabelle 2 im angegebenen Versuchsdesign. (M 2)
Stelle auf Basis der Stoßtheorie eine Hypothese zu den Versuchsergebnissen der Ansätze 1 bis 5. (M 2)
Beurteile die Bedeutung des beschriebenen Abbauverfahrens von PET für die zukünftige Lösung des Plastikmüllproblems. (M 2, M3)
Weiter lernen mit SchulLV-PLUS!
monatlich kündbarSchulLV-PLUS-Vorteile im ÜberblickDu hast bereits einen Account?Material 1: Makromoleküle als Vorstufen der Bausteine des Lebens im Weltall
Bei der Suche nach Leben im Weltall geht man davon aus, dass als Voraussetzung für die Entstehung von Lebewesen organische, reaktive Verbindungen entstehen müssen, die bei der Synthese von Biomolekülen eine Rolle spielen. So können beispielsweise Polyglycin-Moleküle durch Reaktion von mehreren Molekülen Glycin (2-Aminoethansäure) unter Abspaltung von Wasser entstehen.
Kürzlich konnte jedoch auch gezeigt werden, dass sich aus Kohlenstoff, Kohlenstoffmonooxid und Ammoniak unter Bedingungen, wie sie im Weltall herrschen, Polyglycine bilden können. Als reaktives Zwischenprodukt entsteht aus den drei Edukten zunächst Aminoketen (Abb. 1), das leicht zu einem Polyglycin weiter reagieren kann. Bei dieser Polyreaktion wird neben Aminoketen rechnerisch pro Tripeptid ein Molekül Wasser benötigt.
Man vermutet, dass Buta-1,3-dien (Abb. 2) als reaktive ungesättigte Verbindung auf dem Saturnmond Titan vorkommt. Auch Buta-1,3-dien ist unter bestimmten Bedingungen in der Lage, zu Makromolekülen zu polymerisieren. Die Bindungslängen der Moleküle Aminoketen und Buta-1,3-dien sind in Tab. 1 angegeben.

Abb. 1: Strukturformel von Aminoketen

Abb. 2: Strukturformel von Buta-1,3-dien


Abb. 1: Strukturformel von Aminoketen
Abb. 2: Strukturformel von Buta-1,3-dien
Tab. 1: Vergleich ausgewählter Bindungslängen in Aminoketen- bzw. Buta-1,3-dien-Molekülen
|
Bindung |
Bindungslänge in pm |
|
a |
|
|
b |
|
|
c |
|
Material 2: Lösungen für das Plastikmüllproblem
Kunststoffe stellen auf unserem Planeten trotz vieler Vorteile in zunehmendem Maße ein Problem dar. Bei diesen Materialien ist folgender Nachteil offenkundig: die langsame Abbaubarkeit und die damit einhergehende Anreicherung von Plastikmüll in der Umwelt. Getränkeflaschen bestehen oft aus PET (Polyethylenterephthalat), das aus zwei verschiedenen Monomeren synthetisiert wird. Derzeit wird intensiv nach Möglichkeiten gesucht, um den Abbau von PET zu beschleunigen.
2016 entdeckte man erstmals ein Bakterium (Ideonella sakaiensis), das PET mithilfe zweier Enzyme in seine Monomere abbauen kann (Abb. 3) und diese für den eigenen Stoffwechsel nutzt:

Abb. 3: Reaktionsschema des PET-Abbaus in Ideonella sakaiensis1
Beide Enzym-Moleküle können über verschieden lange Oligopeptide aus Glycin- und Serin-Bausteinen (Abb. 4) verknüpft werden. In einer Versuchsreihe (Tab. 2) wird die Aktivität der PETase-MHETase-Dimere mit der Aktivität freier Enzym-Moleküle verglichen. Dazu wird die Terephthalsäure-Konzentration jeweils nach einer bestimmten Zeit gemessen (Abb. 5).

Abb. 4: Untersuchte Enzym-Dimere mit unterschiedlich langen Polypeptid-Ketten1
Tab. 2: Versuchsreihe zur Untersuchung der Aktivität verschiedener PETase-MHETase-Dimere und nicht verbundener Enzym-Moleküle2
|
Ansatz |
1 |
2 |
3 |
4 |
5 |
|
PET |
+ |
+ |
+ |
+ |
+ |
|
PETase + MHETase |
+ |
||||
|
MP8 |
+ |
||||
|
MP12 |
+ |
||||
|
MP20 |
+ |

Abb. 5: Ergebnisse der Versuchsreihe2
Material 3: Müllproblematik verschiedener Kunststoffsorten
Diese von den Forschern gewonnenen Erkenntnisse gelten nur für den Kunststoff PET. Die Müllproblematik wird durch die vielen unterschiedlichen Kunststoffsorten verschärft (Abb. 6), welche zudem industriell in sehr unterschiedlichen Mengen eine Rolle spielen. Für jeden Kunststoff müssen eigene effiziente Abbaumechanismen erforscht werden. Bis diese etabliert sind, ist es wichtig, sinnvolle Alternativen zu finden. Abbildung 7 zeigt, welcher Anteil der unterschiedlichen Kunststoffe aktuell in den Vereinigten Staaten recycelt wird.

Abb. 6: weltweite Kunststoffproduktion getrennt nach Sorte im Jahr 20153

Abb. 7: Recyclinganteil verschiedener Kunststoffe in den Vereinigten Staaten im Jahr 20174
Quellen:
1 Knott, B. C., Erickson, E., Allen, M. D., Gado, J. E., Graham, R., Kearns, F. L., Pardo, I., Topuzlu, E., Anderson, J. J., Austin, H. P., Dominick, G., Johnson, C. W., Rorrer, N. A., Szostkiewicz, C. J., Copié, V., Payne, C. M., Woodcock, H. L., Donohoe, B. S., Beckham, G. T., & McGeehan, J. (2020). Characterization and engineering of a two-enzyme system for plastics depolymerization. Proceedings of the National Academy of Sciences of the United States of America, 117(41), 25476–25485. https://doi.org/10.1073/pnas.2006753117
2 Austin, H. P., Allen, M. D., Donohoe, B. S., Rorrer, N. A., Kearns, F. L., Silveira, R. L., Pollard, B. C., Dominick, G., Duman, R., Omari, K. E., Mykhaylyk, V., Wagner, A., Michener, W. E., Amore, A., Skaf, M. S., Crowley, M. F., Thorne, A. W., Johnson, C. W., Woodcock, H. L., . . . Beckham, G. T. (2018). Characterization and engineering of a plastic-degrading aromatic polyesterase. Proceedings of the National Academy of Sciences of the United States of America, 115(19). https://doi.org/10.1073/pnas.1718804115
3 Primary plastic production by polymer type. (n.d.). Our World in Data. https://ourworldindata.org/grapher/plastic-production-polymer
4 A plastic economy: Is recycling broken? – Sustainability. (2022, February 2). https://sustainability.colostate.edu/humannature/plastic-economy-is-recycling-broken/
Weiter lernen mit SchulLV-PLUS!
monatlich kündbarSchulLV-PLUS-Vorteile im ÜberblickDu hast bereits einen Account?
Bildung aus Aminoketen: Polyaddition, da das Tripeptid das einzige Produkt ist.
Bildung aus Glycin: Polykondensation, da Wasser als Nebenprodukt entsteht.
Beim Aminoketen-Molekül liegt eine kumulierte Doppelbindung vor. Damit ist das mittlere Kohlenstoff-Atom sp-hybridisiert und besitzt zwei freie, senkrecht zueinanderstehende p-Orbitale. Jeweils eines dieser p-Orbitale bildet mit dem anderen Kohlenstoff-Atom bzw. Sauerstoff-Atom eine -Bindung aus.
Die Ebenen, in denen sich die Orbitale der Elektronenpaare 1 und 2 befinden, stehen demnach senkrecht zueinander.
Bindungslängen:
Im 1,3-Butadien-Molekül liegt ein System mit konjugierten Doppelbindungen vor. Die Elektronen sind delokalisiert, wodurch Bindung c einen leichten Doppelbindungscharakter hat und deswegen etwas kürzer als eine reguläre Einfachbindung ist Die Bindungen b haben hingegen einen leichten Einfachbindungscharakter und sind deswegen etwas länger als eine reguläre Doppelbindung
Mesomere Grenzstrukturen:

Im Aminoketen-Molekül tritt eine kumulierte Doppelbindung auf, die aufgrund nicht vorhandener Mesomerie die kürzeste Bindungslänge der angegebenen Bindungen aufweist

Enzyme, hier die PETase, haben Bindungsstellen (aktive Zentren), an die Substrat-Moleküle binden können. Dadurch kommt es zum Enzym-Substrat-Komplex und das Enzym katalysiert die Reaktion, in diesem Fall die Abspaltung von MHET von PET-Makromolekülen.
Hypothese: z. B.: Die durch die Verknüpfung räumlich benachbarten Enzyme spalten PET schneller zu Endprodukten als frei vorliegende.
Ansatz 2 ist ein Kontrollansatz, um spontane oder anderweitige Spaltung von PET auszuschließen.
Ansatz 1: PETase spaltet zusammen mit MHETase PET. Als Folge ist Terephthalsäure nachweisbar.
Ansatz 2: Wenn Enzyme fehlen, wird keine Terephthalsäure gebildet. Folglich beruht die Spaltung von PET auf der Wirkung von Enzymen.
Ansatz 3 bis 5: Sobald PETase und MHETase verknüpft vorliegen, ist die PET-Spaltung beschleunigt.
Enzym und Substrat können nur nach Aufeinandertreffen miteinander einen Enzym-Substrat-Komplex bilden. Nach der Stoßhypothese kommt es erst dann zur Reaktion. Ist MHETase an PETase gekoppelt, trifft das Produkt der ersten Reaktion mit hoher Wahrscheinlichkeit auf die MHETase. Deshalb erfolgt eine schnellere Umsetzung zum Endprodukt. Dabei liefert die Verknüpfungseinheit mit 12 Aminosäuren optimale Ergebnisse.
Im Vergleich zu PP und PE stellt PET einen relativ kleinen Anteil der weltweiten Plastikproduktion dar.
Zumindest in den USA ist die Recyclingquote von PET im Vergleich zu den Quoten von PP und PE höher.
PET hat, aufgrund seiner geringeren Produktionsmengen im Vergleich zu PE und PP und seiner bereits höheren Recyclingquote, einen kleineren Anteil am weltweiten Plastikmüllproblem. So dürfte der neue Abbaumechanismus nur einen eher kleineren Beitrag zur Lösung des Gesamtproblems beitragen.